CF690F1 Tree of Life (easy)
简要题意
给你一棵树,求树上长度为 $2$ 的路径条数
策略分析
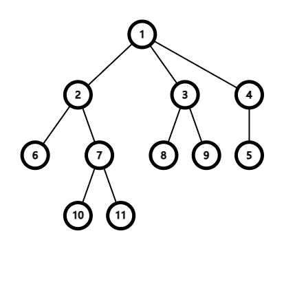
我们看下面这张图:

我们发现对于点 $u,v$,$v$ 是与 $u$ 相连的一个点,从 $u$ 出发的长度为 $2$ 的路径条数就等于 $v$ 的度数减去 $1$,因为 $u$ 本身也和 $v$ 相连,所以要把自己减掉。比如说上面这张图中,与 $1$ 距离为 $2$ 的点有 $6,7,8,9,5$ 这 $5$ 个,而 $1$ 的三个子节点的度数分别为 $3,3,2$,分别减去 $1$ 再相加刚好是 $5$。
我们对这整张图统计以后,其实对于每一个点我们都统计了与它距离为 $2$ 的点,因为存图时是无向图,所以同一条路径一定计算了两次,累加的答案要减半。
时间复杂度 $O(n^2)$。
参考代码
1 |
|
说些什么吧!